වර්ණක කහ 97
Pigment Yellow 97 is a bright, durable yellow pigment commonly used in coatings, inks, plastics, and paints. Known for its excellent lightfastness, weather resistance, and non-toxic properties, it offers vibrant color with high opacity. This pigment provides superior color strength and is often chosen for applications requiring consistent, high-quality yellow hues. It’s widely used in industrial sectors such as automotive, textiles, and packaging, offering a reliable and long-lasting color solution. Pigment Yellow 97 is valued for its versatility, environmental safety, and ability to maintain color integrity even under harsh conditions.
| සමාන පද | C.I.Pigment Yellow 97; C.I.PY97; PY97; P.Y.97 |
| C.I. Number | 11767 |
| CAS අංකය | 12225-18-2 |
| යුරෝපා සංගම් අංකය | 235-427-3 |
| අණුක සූත්රය | C26H27CINN4O8S |
| රසායනික පවුල | මොනෝ අසෝ |
| වර්ණ | ![]() |
| වර්ණ බෙදා හැරීම |
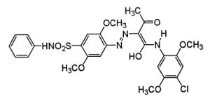
අණුක ව්යුහය:

Pigment yellow 97 Physical, Chemical and Fastness Properties
| අණුක බර | 591.08 |
| PH අගය | 7.5 |
| Ens නත්වය | 1.5 |
| තෙල් අවශෝෂණය (ml / 100g)% | 45 |
| සැහැල්ලු වේගවත් බව | 7 |
| තාප ප්රතිරෝධය | 200 (°C) |
| ජල ප්රතිරෝධය | 5 |
| තෙල් ප්රතිරෝධය | 4 |
| අම්ල ප්රතිරෝධය | 5 |
| ක්ෂාර ප්රතිරෝධය | 5 |
අයදුම්පත
Pigment Yellow 97 finds application in various industries due to its vibrant yellow color. Some common applications include:
Paints and Coatings: Pigment Yellow 97 is used in the formulation of paints and coatings for decorative and protective purposes. It can be incorporated into water-based or solvent-based paints to provide a yellow hue.
Printing Inks: The pigment is utilized in the production of yellow printing inks for applications such as packaging, publications, and other printed materials.
Plastics: Pigment Yellow 97 is often employed in the coloring of plastics, including PVC (polyvinyl chloride), polyolefins, and other polymer materials. It imparts a durable and stable yellow color to plastic products.
Textiles: In the textile industry, this pigment may be used for dyeing fabrics, providing a yellow color to textiles and garments.
Inkjet Inks: Pigment Yellow 97 can be used in the formulation of inkjet inks for printing images and text on various substrates.
Artist Colors: Artists and manufacturers of art supplies may use Pigment Yellow 97 in the production of oil paints, acrylics, watercolors, and other artistic mediums.
Other Applications: The pigment may also be employed in a variety of other applications where a stable and vibrant yellow color is desired, such as in the coloring of cosmetics, rubber products, and specialty coatings.
අදාළ තොරතුරු
Pigment Yellow 97 is a hydroxyl-containing polycarboxylic acid that is used in the production of paints and plastics. It has an oxidation potential of +0.6 volts, which indicates that it is reactive. Pigment Yellow 97 has an absorption maximum at 526 nm and a molecular weight of 317.09 g/mol. The chemical structure of Pigment Yellow 97 consists of a molecule with a reactive carboxyl group and a reactive hydroxyl group, as well as an intramolecular hydrogen bond between the two groups. This pigment also forms coordination complexes with metals such as iron oxides to form particle pigments or mixtures with glycol esters to form solid particles or dispersions, respectively.
නම් සහ හඳුනාගැනීම්
IUPAC Name: N-(4-chloro-2,5-dimethoxyphenyl)-2-[[2,5-dimethoxy-4-(phenylsulfamoyl)phenyl]diazenyl]-3-oxobutanamide
InChI=1S/C26H27ClN4O8S/c1-15(32)25(26(33)28-18-12-20(36-2)17(27)11-21(18)37-3)30-29-19-13-23(39-5)24(14-22(19)38-4)40(34,35)31-16-9-7-6-8-10-16/h6-14,25,31H,1-5H3,(H,28,33)
InChIKey: WNWZKKBGFYKSGA-UHFFFAOYSA-N
Canonical SMILES: CC(=O)C(C(=O)NC1=CC(=C(C=C1OC)Cl)OC)N=NC2=CC(=C(C=C2OC)S(=O)(=O)NC3=CC=CC=C3)OC
ගණනය කළ ගුණාංග
| දේපල නම | දේපල වටිනාකම |
| අණුක බර | 591.0 g/mol |
| XLogP3-AA | 4.6 |
| හයිඩ්රජන් බන්ධන දායක ගණන | 2 |
| හයිඩ්රජන් බන්ධන ප්රතිග්රාහක ගණන | 11 |
| කරකැවිය හැකි බැඳුම්කර ගණන | 12 |
| නියම ස්කන්ධය | 590.1238127 Da |
| මොනොයිසොටොපික් ස්කන්ධය | 590.1238127 Da |
| ස්ථල විද්යාත්මක ධ්රැව මතුපිට ප්රදේශය | 162 Ų |
| බර පරමාණු ගණන | 40 |
| විධිමත් ගාස්තුව | 0 |
| සංකීර්ණත්වය | 974 |
| සමස්ථානික පරමාණු ගණන | 0 |
| නිර්වචනය කරන ලද Atom Stereocenter Count | 0 |
| නිර්වචනය නොකළ Atom Stereocenter Count | 1 |
| නිර්වචනය කළ බැඳුම්කර ස්ටීරියෝසෙන්ටර් ගණන | 0 |
| නිර්වචනය නොකළ බැඳුම්කර ස්ටීරියෝසෙන්ටර් ගණන | 0 |
| සහසංයුජ-බන්ධිත ඒකක ගණන | 1 |
| සංයෝගය කැනොනිකල්කරණය කර ඇත | ඔව් |











